Basic Information on Lauryl Betaine
- INCI Name: Lauryl Betaine
- Synonyms: Dodecyl Dimethyl Betaine,Lauryldimethyl Betaine
- Abbreviations: BS-12, LB
- CAS No.: 683-10-3
- Molecular Formula: C16H33NO2
- Molecular Weight: 271.45
- EINECS No.: 211-669-5
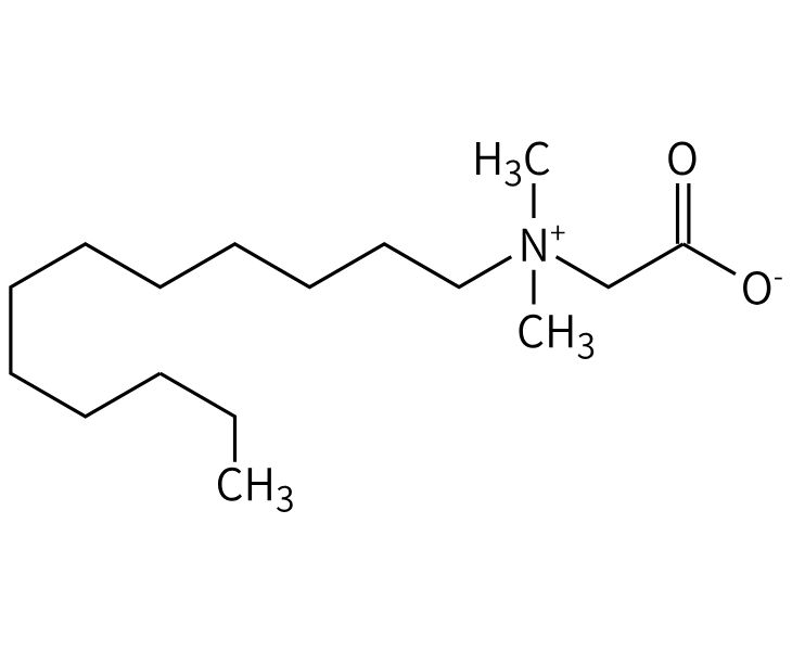
- Chemical Structure: C12H25-N+(CH3)2-CH2-COO-
- Category: Alkyl Betaine
What is Lauryl Betaine?
- Lauryl betaine (CAS No. 683-10-3) is a inner salt type surfactant characterized by its mildness, resistance to acids and alkalis, and excellent compatibility.
- Lauryl betaine is not merely a zwitterionic surfactant; it also serves as a balancing regulator within formulations.Ensure your product achieves an optimal balance among mildness, sensory attributes, efficacy, and safety.
- Our lauryl betaine is primarily prepared using two methods.Petrochemical-based: Industrial Grade, General-Purpose Daily Chemicals Grade, Bulk Daily Chemical Products;Plant-based: Cosmetic-grade products; products with natural/organic claims.
- Are you still struggling to thicken anionic systems? Experiencing sparse foam in high-hardness water? Or encountering turbidity and phase separation during low-temperature storage?BuyHighassay’s Lauryl Betaine and eliminate all your concerns.

Why choose Highassay?
- Highassay is a professional supplier of Lauryl Betaine from China.We supply cosmetic-grade, general-purpose daily chemical grade, and industrial-grade Lauryl Betaine raw materials.Different grades correspond to varying standards for purity, impurity control, active ingredient content, and physical form.Precisely matches your application requirements and budget.
- Lauryl Betaine: From Baby Shampoos to Oilfield Enhanced Oil Recovery,its range of applications is extremely broad.Highassay not only supplies you with raw materials but also serves as your formulation assistant.
- Our Lauryl Betaine products are of stable and guaranteed quality.Complete data materials such as COA and MSDS are included with the product.Key indicators (such as monochloroacetic acid and free amines) are transparent and verifiable, ensuring your worry-free use.
- Supports orders for free samples and small-pack sizes. Highassay maintains ready stock for rapid shipping.
Whether you are requesting a quote or have questions regarding a formula, you are welcome to consult us.
Lauryl Betaine: Gentle Enhancement, Versatile Compatibility — Empowering Your Formulations
For wholesale bulk Lauryl Betaine, choose Highassay. Click below to request a free sample and product quote as soon as possible.
Mildness and Safety- Compared to traditional alkyl sulfates, lauryl betaine exhibits extremely low irritation to the skin and eyes.It is the preferred choice for baby shampoos and maternal and infant products.
- According to CIR assessment: rinse-off products at concentrations ≤ 8.8%, and leave-on products at concentrations ≤ 1.2%, are considered safe.
- EWG Rating: Low Risk
Sensory Modifying Properties- Lauryl betaine forms an adsorbed film on the surface of hair strands and fabrics, thereby reducing static electricity caused by friction.It is benefit for voluminous and silky hair and the fabric is soft and gentle on the skin.
- Lauryl betaine exhibits strong foaming power and produces fine, delicate foam.It remains effective even in high-grease and hard-water environments.
Synergistic Compatibility- Lauryl betaine can be formulated with almost all types of surfactants, exhibiting extremely strong compatibility.It is a versatile compounding partner.In most cases, it produces a “1+1 > 2” effect.
- In addition to significantly enhancing the detergency index of blended systems, lauryl betaine—acting as a natural solubilizer and foam stabilizer—also effectively mitigates the irritation caused by other surfactants.
Antibacterial and Antiseptic Properties- Lauryl betaine exhibits a certain inhibitory effect against specific bacteria and fungi (such as Malassezia, Staphylococcus aureus, and Escherichia coli).It is a multifunctional surfactant that combines mildness with antimicrobial efficacy.
- Suitable for use in anti-dandruff shampoos, hand soaps/sanitizers, and baby products.
Physicochemical Properties of Lauryl Betaine
- Appearance: Colorless to pale yellow, transparent, viscous liquid
- pH (5% aqueous solution): 5–8
- Active Content: 30% or 35% aqueous solution (common forms)
- Density: 1.04 g/mL at 20°C
- Boiling Point: Approx. 414.52°C
- Flash Point: >110°C
- Solubility: Easily soluble in water and organic solvents
- Stability: Stable under normal temperature and pressure
- Packaging: Typically 200 kg plastic drums or 1000 kg IBC totes
- Storage: Store in a cool, well-ventilated area
- Shelf Life: 12 months

Lauryl Betaine Uses

- Cosmetic-grade lauryl betaine represents the highest grade among all grades and is also the most expensive tier.
- Key Specification Requirements: A colorless to pale yellow, transparent liquid that is nearly odorless. Impurities such as monochloroacetic acid and free amines are strictly controlled.
- When used as a cosmetic ingredient, it is commonly found in: baby shampoos and tear-free formulas; high-end facial cleansers and body washes; mouthwashes; and similar products.

- The general-purpose grade of lauryl betaine for daily chemical applications is currently the most widely circulated grade on the market, striking a balance between performance and cost.
- Key Specification Requirements: A pale yellow, viscous liquid. The impurity control standards are slightly more lenient than those for cosmetic-grade products, permitting the presence of certain levels of by-product salts, trace amounts of unreacted amines, etc.
- It serves as a raw material for conventional daily chemical products, suitable for use in: mass-market shampoos and hand soaps; dishwashing detergents and laundry liquids; textile printing and dyeing auxiliaries; agricultural chemicals; and similar products.

- Industrial-grade lauryl betaine represents the lowest grade requirement, mandating only that its core functional properties meet the necessary standards. Consequently, it offers a significant cost advantage.
- Key Indicator Requirements: A yellow or amber liquid, with no strict requirements regarding impurity content.
- Applicable Fields: Rubber Industry Grade—focuses on emulsification, antistatic properties, and softening performance; Oilfield-Specific Grade—focuses on oil displacement, biocidal activity, high salinity resistance, etc.
Specifications of Lauryl Betaine
- Specifications of Lauryl Betaine
- Grade Comparison of Lauryl Betaine
- Suggestions on Compound Application of Lauryl Betaine
| Test Item | Specification | Test Method |
| Appearance (25℃) | Colorless to light yellow transparent liquid | Visual inspection |
| Odor | Characteristic odor | Olfactory identification |
| Color (Hazen) | ≤80 | GB/T 605 |
| pH Value (5% aq. soln., 25℃) | 6.0~8.0 | GB/T 6368 |
| Free Amine Content (%) | ≤1.0 | QB/T 2344 |
| Sodium Chloride Content (%) | ≤8.0 | QB/T 2344 |
| Active Matter Content (%) | 28.0~32.0 | QB/T 2344 |
| Chloroacetic Acid (ppm) | ≤20 | Ion Chromatography (HPIC) |
| Item | Cosmetic Grade | Industrial / Daily Chemical Grade | Oilfield Special Grade |
| Appearance | Colorless to pale yellow transparent | Light yellow transparent | Pale yellow to amber |
| Active Content | 30-35% (precisely controlled) | Mainly 30% | Customized as required (may contain compounds) |
| Monochloroacetic Acid Residue | Extremely low (μg/g level) | Trace amount allowed | Not tested |
| Inorganic Salt (NaCl) | ≤6% | ≤7% | Higher content acceptable |
| pH Value | 5.0-7.0 (mild) | 5.0-8.0 | May be wider |
| Price | Highest | Medium | Lowest |
| Regulatory Requirements | Cosmetic notification, CIR evaluation | No special requirements | None |
| Compound Scenario | Recommended Dosage | Effect |
| Compound with AES (Shampoo / Body Wash) | 3% – 8% | Thickens, stabilizes foam and reduces irritation |
| Compound with Amino Acid Surfactants (High-end Facial Cleanser) | 2% – 5% | Improves foam richness and volume |
| Compound with APG Glucosides (Baby Products) | 2% – 6% | Extremely mild, tear-free formulation |
| Cationic Bactericide System (Hand Wash) | 3% – 10% | Synergistic effect enhancement |
Inner-salt Surfactant(Zwitterionic surfactants ),refers to a single surfactant molecule that contains both positively charged and negatively charged groups,and is overall electrically neutral.
Betaines (such as BS-12, CAPB, LAB, etc.) are all typical examples of zwitterionic surfactants.
Lauryl betaine is a zwitterionic compound capable of intelligently regulating its electrical charge; it exhibits excellent compatibility with all kinds of ingredients,offers broad applicability, and provides a softer, smoother skin feel.
Yes. Our plant-based lauryl betaine is derived from coconut oil and/or beets. It is 100% biodegradable and aligns with eco-friendly principles.
Yes, it is. Not only does it avoid damaging hair quality, but it also Combines multiple hair care benefits in one.
Lauryl betaine is a mild cleansing agent found in shampoos.At the same time, it increases foaming, reduces the irritation caused by other ingredients, and minimizes static electricity.Leaves your hair fluffy and smooth after washing.
No. Lauryl betaine is considered safe;However, the possibility of potential risks to a very small number of sensitive individuals cannot be ruled out.
If your skin and constitution are extremely sensitive, we recommend performing a patch test before using any new products.
Stable under acidic or alkaline conditions, with good compatibility;
It causes minimal irritation to the skin and eyes, and exhibits good biodegradability;
It offers excellent detergency, antibacterial properties, softening effects, anti-static capabilities, hard-water tolerance, and rust-inhibiting properties.
Products you are interested in
Lauryl Betaine (LB / BS-12) vs. Cocamidopropyl Betaine(CAPB) Comparison
| Comparison Item | Lauryl Betaine (LB / BS-12) | Cocamidopropyl Betaine (CAPB) |
| Chemical Structure | Alkyl betaine with simple C12 alkyl chain, no amide linkage | Amidopropyl betaine with cocoalkyl and amidopropyl connecting chain |
| Mildness | Mild | Extra mild, lower irritation |
| Foaming Performance | Fast foaming, relatively large bubbles | Rich, dense creamy foam with good stability |
| Thickening Ability | Extremely strong | Good, but weaker than Lauryl Betaine |
| Hard Water Resistance | Good | Excellent |
| Skin & Ocular Mucosa Irritation | Moderate | Very low (suitable for baby care, tear-free formulations) |
| Typical Active Content | 30% | 30% / 35% |
| Color & Odor | Lighter color, purer odor | Slightly darker color, faint fatty odor |
| Price | Relatively low | Relatively high |
| Main Applications | Body wash, hand soap, shampoo, industrial cleaning | Baby care, facial cleanser, sensitive skin products, high-end shampoo |
In summary: Lauryl Betaine (BS-12) offers excellent cost-effectiveness, strong thickening power, and rapid foaming; Cocamidopropyl Betaine (CAPB) is milder and produces a finer foam, making it suitable for high-end products, sensitive skin, and infant/child formulations.
Dodecyl Dimethyl Betaine (LB/BS-12) vs. Lauramidopropyl Betaine (LAB-30)
| Item | Lauryl Dimethyl Betaine BS-12 | Lauramidopropyl Betaine LAB-30 |
| Structure | Alkyl betaine, no amide bond | Amidopropyl betaine, with amide bond |
| Mildness | Mild | More mild, lower irritation |
| Thickening ability | Very strong | Moderate to weak |
| Foaming | Large and fast foam | Finer foam with better stability |
| Application | General toiletries, hand wash, thickening | Sensitive skin, baby care, high-end facial cleansers |
| Price | Low | Relatively high |






